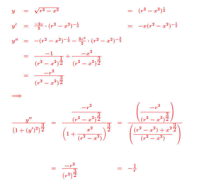
1.1.83 Beispiel
df9014
Kreisgleichung, obere Hälfte
y
=
√
r
2
−
x
2
=
(
r
2
−
x
2
)
1/2
.
.
Lösung:
.