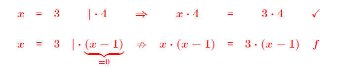
1.1.3  Beispiel

gu9007
.
Lösung:
.