1.1.6 Beispiel
gu9010
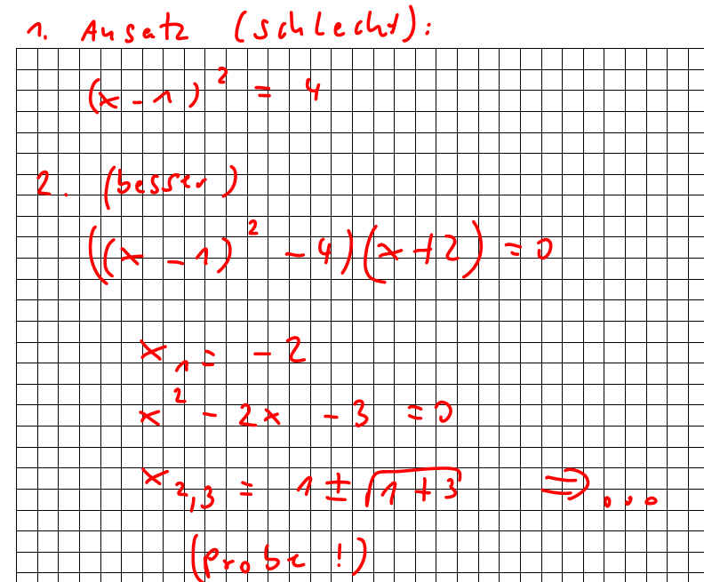
(
x
−1)
2
ˇ (
x
+2)=4ˇ (
x
+2)
.
.
.
Lösung:
.