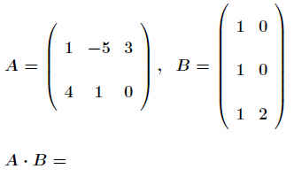
1.1.133  Beispiel

mt9008
.
.

.
.
Lösung:
.