1.1.180  Beispiel

st9110
Nun interessiert uns die Auswirkung der Standardabweichungen
sx und sy der beiden unabhängigen Meßgrößen X und Y auf die Standardabweichung sz der abhängigen indirekten Meßgröße Z =f(X;Y). .
Für die einzelnen Abweichungen gilt (s.o.):
.
wi = ziz = f(xi;yi)− f(x; ȳ) = f(x+ui; ȳ+vi) − f(x;ȳ) .
Die sehr kleinen Werte von
wi, ui und vi ersetzen wir näherungsweise durch das Differential .
d  zi = d  f(x, ȳ)/ dx · ui + d  f(x, ȳ)/ dy · vi = fx(x, ȳ) · ui + fy(x, ȳ) · vi. .

wi = d zi= ziz= fx(x, ȳ) · ui + fy(x, ȳ) · vi. .
Verwendet man die Abkürzungen
a= fx(x, ȳ) und b= fy(x, ȳ), erhält man damit .
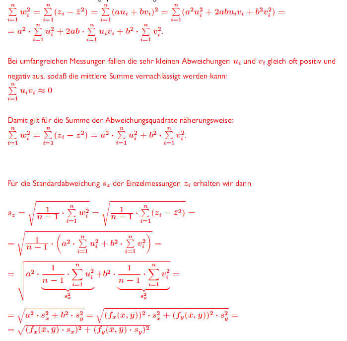
wi = ziz=aui+bvi. .
Die Summe der Abweichungsquadrate beträgt dann:
.
.
Lösung:
.