1.1.69  Beispiel

tf9021
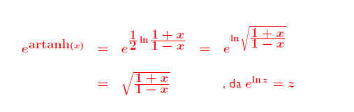
Bitte vereinfachen Sie:
e artanh(x)
.
.
Lösung:
.